8. Sınıf Matematik Ders Kitabı Sayfa 127-131. Cevapları
8. Sınıf Matematik Ders Kitabı Sayfa 127-131. Cevapları ADA Yayıncılık bölümünde, ders kitabı sayfa 127-128-129-130-131 konularına ait cevapları bulabilirsiniz. “Çarpanlara Ayırma Cevapları” Öğrenmenizi pekiştirmek ve anlamanızı kolaylaştırmak için 8. Sınıf Matematik Ders Kitabı Sayfa 127-131. Cevapları soruları dikkatlice inceleyin. Başarınızı artırın.
Çarpanlara Ayırma Cevapları
3. ÜNİTE: 8. Sınıf Matematik Ders Kitabı Sayfa 127-128-129-130-131. Cevapları ADA Yayıncılık
İçindekiler
4. Sınıf Matematik Ders Kitabı Sayfa 127 Cevapları ADA Yayıncılık
Etkinlik
• Birbirine bitişik iki dikdörtgenden oluşan yandaki şekli inceleyelim.
Cevap:

• ABEF dikdörtgeninin alanını veren cebirsel ifadeyi yazalım.
Cevap: a.c
• BCDE dikdörtgeninin alanını veren cebirsel ifadeyi yazalım.
Cevap: b.c
• ACDF dikdörtgeninin alanını veren cebirsel ifadeyi yazalım.
Cevap: (a+b) . c
• ABEF dikdörtgeni ile BCDE dikdörtgeninin alanları toplamı ACDF dikdörtgeninin alanına eşit olur mu? Tartışalım.
Cevap: a . c + b . c = (a+b) . c (c’yi paranteze dağıtırız ve eşit olduğu ortaya çıkar)
• Bu eşitliği sağlayan matematiksel ifadeyi yazalım. ACDF dikdörtgeni ile ABEF ve BCDE dikdörtgenlerinin ortak olan kenarının hangisi olduğunu söyleyelim.
Cevap: C kenarı ortaktır
İhtiyacınız olan içeriğe aşağıdaki ana kaynaklardan ulaşabilirsiniz:
4. Sınıf Matematik Ders Kitabı Sayfa 131 Cevapları ADA Yayıncılık
Alıştırmalar
1. Aşağıda verilen ifadeleri çarpanlarına ayırınız.
Cevap:

2. Aşağıdaki eşitliklerden doğru olanlara “D”, yanlış olanlara “Y” yazınız.
Cevap:

3. 200² – 180² = A · 76 olduğuna göre A kaçtır?
Cevap:

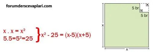
4. Yanda verilen boyalı bölgenin alanını veren cebirsel ifadeyi ve bu cebirsel ifadenin çarpanlarına ayrılmış hâlini yazınız.
Cevap:

5. x 9 = 5 olduğuna göre 2x²– 36x + 162 ifadesinin değerini bulunuz.
Cevap:

6. 64x² + Ax + 25 ifadesinin iki ifadenin toplamının karesi olması için A yerine yazılması gereken sayıları bulunuz.
Cevap:

7. Alanı 2x² + 44x + 242 olan dikdörtgenin bir kenarının uzunluğu 2 cm olduğuna göre diğer kenarının uzunluğu santimetre cinsinden veren cebirsel ifade aşağıdakilerden hangisidir?
Cevap: D) (x+11)²

8. x = 20 ve y = 24 olmak azere 9×2 – 24xy + 16y2 ifadesinin değerini hesaplayınız.
Cevap:













