6. Sınıf Matematik Ders Kitabı Sayfa 162-163-164-165-166. Cevapları
6. Sınıf Matematik Ders Kitabı Sayfa 162-163-164-165-166. Cevapları 1. Kitap bölümünde, ders kitabı sayfa 162-163-164-165-166 konularına ait cevapları bulabilirsiniz. “Gerçek Yaşam Problemleri Etkinlik 6-7 Cevapları” Öğrenmenizi pekiştirmek ve anlamanızı kolaylaştırmak için 6. Sınıf Matematik Ders Kitabı Sayfa 162-163-164-165-166. Cevapları MEB Yayınları soruları dikkatlice inceleyin. Başarınızı artırın.
Gerçek Yaşam Problemleri Etkinlik 6-7 Cevapları
Eğer 2. Kitap (2. Dönem) cevaplarını arıyorsanız, aşağıdaki butona tıklayarak içindekiler sayfasına gidebilirsiniz.
6. Sınıf Matematik 2. Kitap Sayfaları3. Tema Sayılar ve Nicelikler (2): İki kesrin çarpımında paylar birbiriyle, paydalar birbiriyle çarpılarak sonuç bulunur. Bir doğal sayıyla kesrin bölümü ise kesrin tersiyle çarpılarak kolayca hesaplanabilir.
İçindekiler
6. Sınıf Matematik Ders Kitabı Sayfa 162. Cevapları Birinci Kitap
Etkinlik 6 İki Kesrin Çarpımı

Ayşe Hanım, yaptığı üst yüzeyi kare şeklinde olan yandaki pastadan dilimler keserek çocuklarının tabaklarına koymuştur.
Çocuklarının tabaklarına koyduğu pasta miktarlarını aşağıdaki gibi ifade etmiştir:
Arda, annesinin tabağına koyduğu pasta miktarının bu pastanın kaçta kaçına eşit olduğunu merak etmiştir. Bunu bulmak için bu pastayı bir kenarı 1 birim olan aşağıdaki kare ile modellemiştir.
6. Sınıf Matematik Ders Kitabı Sayfa 163. Cevapları Birinci Kitap
Daha sonra tabağına konulan pasta miktarını gösteren model üzerindeki parçanın dikdörtgen olduğunu fark eden Arda, dikdörtgenin alanından faydalanarak aşağıdaki eşitliği yazmıştır.

Arda’nın, tabağına konulan pasta miktarının bu pastanın kaçta kaçı olduğunu belirlemek için uyguladığı adımları inceleyerek aşağıdaki soruları cevaplayınız.
a) Arda’nın yazdığı eşitliği inceleyerek sonucun paydasının nasıl belirlendiği ile ilgili fikirlerinizi yazınız.
Cevap:
Sonucun paydası, çarpılan kesirlerin paydalarının çarpılmasıyla bulunur.
Burada 
b) Arda’nın yazdığı eşitliği inceleyerek sonucun payının nasıl belirlendiği ile ilgili fikirlerinizi yazınız.
Cevap: Sonucun payı, çarpılan kesirlerin paylarının çarpılmasıyla bulunur.
Burada 1 × 3 = 3 olduğu için pay 3’tür.
c) Ayşe Hanım’ın Mete’nin tabağına koyduğu pasta miktarını bu pastayı bir kenarı 1 birim olan kare kullanarak belirleyiniz. Daha sonra dikdörtgenin alanından faydalanarak uygun eşitliği yazınız.
Cevap:
Mete’nin tabağına konulan pasta miktarı

Yani Mete’ye pastanın 5/24’ü konulmuştur.
ç) Ayşe Hanım’ın, çocuklarının tabaklarına koyduğu pasta miktarlarını karşılaştırarak adil bir paylaşım yapıp yapmadığını belirleyiniz.
Cevap:
Arda’ya 3/12 = 1/4, Mete’ye 5/24 pasta verilmiştir.

Paylaşım adil değildir.
6. Sınıf Matematik Ders Kitabı Sayfa 164. Cevapları Birinci Kitap
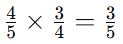
Problem 9
Abdullah, bir kitabın 4/5’ünün 3/4’ünü okumuştur. Buna göre Abdullah’ın kitabın kaçta kaçını okuduğunu bulunuz.
Cevap:
Abdullah, kitabın 4/5’inin 3/4’ünü okumuştur.
İşlem:

Sonuç: Abdullah kitabın 3/5’ini okumuştur.
Problem 10
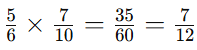
Bir otomobilin yakıt deposunun 5/6’inin 7/10’si doludur. Buna göre bu otomobilin deposunun kaçta kaçının dolu olduğunu bulunuz.
Cevap:
Depo kapasitesinin 5/6’sının 7/10’u doludur.
İşlem:

Sonuç: Deponun 7/12’si doludur.
Problem 11
Süleyman, bir boya kutusunun 1/3 ’inin 2 1/4’ini kullanarak odasını boyamıştır. Buna göre Süleyman’ın bir boya kutusunun kaçta kaçını kullandığını bulunuz.
Cevap:
Süleyman, boya kutusunun 1/3’ünün 2 1/4’ünü kullanmıştır.
Önce tam sayılı kesri çeviririz:

İşlem:

Sonuç: Süleyman boya kutusunun 3/4’ünü kullanmıştır.
6. Sınıf Matematik Ders Kitabı Sayfa 165. Cevapları Birinci Kitap
Etkinlik 7 Bir Doğal Sayı İle Bir Kesrin Bölümü
Problem 1: 6 tepsi su böreği, her masada bir tepsi su böreğinin 1/3 ’i olacak şekilde servis edilecektir. Buna göre böreklerin kaç masaya servis edilebileceğini bulunuz.
Cevap:
Her masaya 1/3 tepsi börek konuluyor.
Toplam 6 tepsi börek var.
6 ÷ 1/3 = 6 × 3 = 18
Sonuç: 18 masa
Problem 2: Bir tepsi su böreğinin 1/3 ’i, her tabakta eşit büyüklükte börek olacak şekilde 6 tabakla servis edilecektir. Buna göre bir tabaktaki böreğin bir tepsi böreğin kaçta kaçı olduğunu bulunuz.
Cevap:
Bir tepsinin 1/3’ü, 6 tabağa eşit paylaştırılıyor.
1/3 ÷ 6 = 1/18
Sonuç: Bir tabak, bir tepsi böreğin 1/18’i kadar börek alır.
6. Sınıf Matematik Ders Kitabı Sayfa 166. Cevapları Birinci Kitap
Buna göre aşağıdaki soruları cevaplayınız.
a) Meryem Öğretmen’in yazdığı problemleri, bölme işleminin iki anlamı olan paylaşım ve eşit gruplama üzerinden inceleyerek fikirlerinizi yazınız. Daha sonra bu fikirlerinizi arkadaşlarınızla paylaşarak tartışınız.
Cevap:
Birinci problemde paylaşım vardır. Börekler masalara paylaştırılmıştır.
İkinci problemde ise eşit gruplama vardır. Börek eşit parçalara bölünüp tabaklara konulmuştur.
b) Meryem Öğretmen, öğrencilerine yöneltmek üzere iki problem daha hazırlamıştır.
Problem 3: Aynı uzunluktaki sekiz adet tahta, her bir parçanın uzunluğu bir tahtanın uzunluğunun 1 ’i olacak şekilde parçalara ayrılacaktır.
Buna göre bu sekiz tahtadan kaç adet tahta parçası elde edilebileceğini bulunuz.
Cevap:
Bir tahta 1/5’lik parçalara ayrılırsa 1 tahtadan 5 parça çıkar.
8 tahta olduğuna göre:
8 × 5 = 40 parça
Problem 4: Bir tahtanın -5’i, eşit uzunlukta sekiz parçaya ayrılacaktır.
Buna göre bir tahta parçasının uzunluğunun tahtanın uzunluğunun kaçta kaçı olduğunu bulunuz.
Betül ve Ragıp’ın çözümlerini inceleyip, alan modeli ya da sayı doğrusu kullanarak bu problemleri çözünüz.
Cevap:
Bir tahtanın 1/5’i 8 eş parçaya bölünürse,
bir parça = 1/5 ÷ 8 = 1/40
Sonuç: Bir parça, tahtanın 1/40’ıdır.














