6. Sınıf Matematik Ders Kitabı Sayfa 96-97. Cevapları
6. Sınıf Matematik Ders Kitabı Sayfa 96-97. Cevapları 2. Kitap bölümünde, ders kitabı sayfa 96-97 konularına ait cevapları bulabilirsiniz. “6. Tema Ölçme ve Değerlendirme Soruları Etkinlik Cevapları” Öğrenmenizi pekiştirmek ve anlamanızı kolaylaştırmak için 6. Sınıf Matematik Ders Kitabı Sayfa 96-97. Cevapları MEB Yayınları soruları dikkatlice inceleyin. Başarınızı artırın.
6. Tema Ölçme ve Değerlendirme Soruları Cevapları
Eğer 1. Kitap (1. Dönem) cevaplarını arıyorsanız, aşağıdaki butona tıklayarak içindekiler sayfasına gidebilirsiniz.
6. Tema İşlemlerle Cebirsel Düşünme ve Değişimler: Algoritmalar, belirli adımları izleyerek bir problemi çözmek için kullanılır. Akış şemaları ise bu adımları görsel olarak göstererek süreci daha anlaşılır hale getirir.
İçindekiler
6. Sınıf Matematik Ders Kitabı Sayfa 96. Cevapları İkinci Kitap
1) Girilen 3 sayının aritmetik ortalamasını bulan ve bu sonuçları ekrana yazdıran algoritmanın sözde kodu aşağıda verilmiştir.
1. Adım: Başla.
2. Adım: Birinci sayıyı gir. (x)
3. Adım: İkinci sayıyı gir. (y)
4. Adım: Üçüncü sayıyı gir. (z)
5. Adım: Toplam = x + y + z
6. Adım: Ortalama = Toplam 3
7. Adım: Yazdır. (Ortalama)
8. Adım: Bitir.
Buna göre bu algoritmanın akış şemasını çizerek verilen soruyu cevaplayınız. Bu algoritmaya x değişkeni 22, y değişkeni 41 ve z değişkeni 33 olarak girilirse 7. adımda ekranda yazdırılan sayı kaç olur?
Cevap:

Verilenler:
x = 22
y = 41
z = 33
Hesaplama:
Toplam = 22 + 41 + 33 = 96
Ortalama = 96 ÷ 3 = 32
7. adımda ekrana yazdırılan sayı: 32
İhtiyacınız olan içeriğe aşağıdaki ana kaynaklardan ulaşabilirsiniz:
6. Sınıf Matematik Ders Kitabı Sayfa 97. Cevapları İkinci Kitap
2) Aşağıda bir sayı örüntüsünün algoritmasının akış şeması verilmiştir.

Buna göre verilen soruları cevaplayınız.
a) Bu sayı örüntüsünün ilk adımındaki sayı kaçtır?
Cevap:
Akış şemasında “Örüntünün ilk adımındaki sayı n = 7” olarak verilmiştir.
Bu nedenle örüntünün ilk terimi 7’dir.
b) Bu sayı örüntüsünün ardışık adımları arasındaki fark kaçtır?
Cevap:
Akış şemasında her döngüde
“n = n + 4” işlemi yapılmaktadır.
Bu durum, örüntüdeki her sayının bir önceki sayıdan 4 fazla olduğunu gösterir.
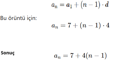
c) Bu sayı örüntüsünün herhangi bir adımındaki sayıyı bulabilmek için gerekli olan cebirsel ifadeyi bulunuz.
Cevap:
Bu örüntü bir aritmetik örüntüdür.
- İlk terim: 7
- Artış miktarı: 4
Aritmetik örüntünün genel terimi:

3) İçinde 8 L su bulunan varile bir musluk dakikada 3 L su akıtmaktadır.
Buna göre aşağıdaki soruları cevaplayınız.
a) Dakikalar geçtikçe varilde biriken su miktarını gösteren örüntüyü yazınız ve bu örüntünün kuralını bulunuz.
Cevap:
Dakikalara göre varildeki su miktarı:
- dakika → 11 L
- dakika → 14 L
- dakika → 17 L
- dakika → 20 L
Bu örüntü her dakika 3 litre artmaktadır.
Örüntünün kuralı: 𝑆 = 8 + 3𝑛
b) 22. dakikada varilde toplam kaç L su biriktiğini hesaplayınız.
Cevap:
Başlangıçta varilde 8 L su vardır.
Her dakika varile 3 L su eklenmektedir.
22 dakika sonunda eklenen su miktarı:
3 × 22 = 66 L
Varildeki toplam su miktarı:
66 + 5 = 71 L
c) Varilin kapasitesi 120 L olduğuna göre varilin kaçıncı dakikada taşacağını hesaplayınız.
Cevap:
n = 35 için:
3 · 35 + 5 = 110
n = 36 için:
3 · 36 + 5 = 113
n = 37 için:
3 · 37 + 5 = 116
n = 38 için:
3 · 38 + 5 = 119
n = 39 için:
3 · 39 + 5 = 122
Sonuç: 39. dakikada taşar.














