7. Sınıf Matematik Ders Kitabı Sayfa 66. Cevapları
7. Sınıf Matematik Ders Kitabı Sayfa 66. Cevapları MEB Yayınları bölümünde, ders kitabı sayfa 66 konularına ait cevapları bulabilirsiniz. “Kazanım Kavrama Testi – 6 Cevapları” Öğrenmenizi pekiştirmek ve anlamanızı kolaylaştırmak için 7. Sınıf Matematik Ders Kitabı Sayfa 66. Cevapları soruları dikkatlice inceleyin. Başarınızı artırın.
Kazanım Kavrama Testi – 6 Cevapları
2. ÜNİTE Sayılar ve İşlemler: 7. Sınıf Matematik Ders Kitabı Sayfa 66. Cevapları MEB Yayınları
İçindekiler
7. Sınıf Matematik Ders Kitabı Sayfa 66 Cevapları MEB Yayınları
1. (-3 tam 1/3) + (-2 tam 2/3) + 2/3 işleminin sonucu kaçtır?
Cevap: C) -16/3

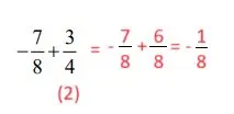
2. -(7/8) + 3/4 işleminin sonucu kaçtır?
Cevap: A) -1/8

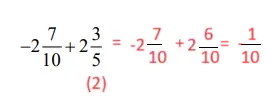
3. -2 tam 7/10 + 2 tam 3/5 işleminin sonucu kaçtır?
Cevap: A) -1/10

4. (-2 taam 1/2) – 1/5 işleminin sonucu kaçtır?
Cevap: D) -27/10

5. (-7/2) + 0,7 işleminin sonucu kaçtır?
Cevap: B) −ü

6. (-3 tam 9/10) + 3,6 işleminin sonucu kaçtır?
Cevap: A) −0,3

7. (-5 tam 2/3) – (-2) işleminin sonucu kaçtır?
Cevap: B) -3 tam 1/3

8. 3/4 sayısının toplama işlemine göre tersi A, -2/3 sayısının toplama işlemine göre tersi B olduğuna göre A- B kaçtır?
Cevap: B) -1/12
A → -3/4
B → 2/3
-3/4 + 2/3 = -9/12 + 8/12 = -1/12

9. Yukarıdaki eşit aralıklarla bölünmüş sayı doğrusunda verilen toplama işleminin matematiksel ifadesi aşağıdakilerden hangisidir?
Cevap: C)
Birinci adım → -(7/4)
İkinci adım → +1
-7/4 + 1 = -7/4 + 4/4 = -3/4
İhtiyacınız olan içeriğe aşağıdaki ana kaynaklardan ulaşabilirsiniz:














