6. Sınıf Matematik Ders Kitabı Sayfa 212-113. Cevapları
6. Sınıf Matematik Ders Kitabı Sayfa 212-113. Cevapları 1. Kitap bölümünde, ders kitabı sayfa 212-113 konularına ait cevapları bulabilirsiniz. “4. Tema İzleme Testi Etkinlik Cevapları” Öğrenmenizi pekiştirmek ve anlamanızı kolaylaştırmak için 6. Sınıf Matematik Ders Kitabı Sayfa 212-113. Cevapları MEB Yayınları soruları dikkatlice inceleyin. Başarınızı artırın.
4. Tema İzleme Testi Etkinlik Cevapları
4. Tema Veriden Olasılığa: Deneysel olasılık, bir olayın gerçekleşme sıklığının toplam deneme sayısına oranıyla hesaplanır. Bu oran, gerçek yaşam verilerine dayanarak olayların gerçekleşme ihtimalini yüzde veya kesir olarak ifade eder.
İçindekiler
6. Sınıf Matematik Ders Kitabı Sayfa 212. Cevapları Birinci Kitap
Deneysel Olasılık hesaplanırken şu formül kullanılır:

1. Cirit, Anadolu’da oynanan geleneksel atlı spordur. Bir cirit sporcusu kendine doğru atılan 50 ciritin 5’ini havada yakalamıştır.
Buna göre bu cirit sporcusunun kendisine atılan bir ciriti havada yakalama olayının deneysel olasılığı yüzde kaçtır?
Cevap:
Ciritçi 50 atıştan 5’ini yakalıyor.
- İstenen Durum: 5
- Tüm Durumlar: 50
- Oran: 5 / 50
Yüzde olarak hesaplamak için paydayı 100 yapalım (2 ile genişleterek):

Sonuç: %10

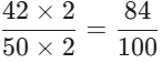
2. Bir okçu 50 atıştan 42’sini isabet ettirmiştir.
Buna göre bu okçunun attığı bir oku isabet ettirme olayının deneysel olasılığı yüzde kaçtır?
Cevap:
Okçu 50 atıştan 42’sini isabet ettiriyor.
- İstenen Durum: 42
- Tüm Durumlar: 50
- Oran: 42 / 50
Yüzde olarak hesaplamak için paydayı 100 yapalım (2 ile genişleterek):

Sonuç: %84
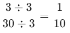
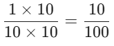
3. Selim Bey, her sabah toplu ulaşım aracı ile işe gitmektedir. İşe gittiği 30 günün üçünde toplu
ulaşım aracı durağa geç gelmiştir.
Buna göre toplu ulaşım aracının durağa geç gelme olayının deneysel olasılığı yüzde kaçtır?
Cevap:
30 günün 3’ünde araç geç geliyor..
- İstenen Durum: 3
- Tüm Durumlar: 30
- Oran: 3 / 30
Önce sadeleştirme yapıp sonra yüzdeye çevirelim:

Paydayı 100 yapmak için 10 ile genişletelim:

Sonuç: %10
İhtiyacınız olan içeriğe aşağıdaki ana kaynaklardan ulaşabilirsiniz:
6. Sınıf Matematik Ders Kitabı Sayfa 213. Cevapları Birinci Kitap
4. Aşağıdaki tablo bir bisiklet satış mağazasında belli bir sürede satılan bisikletlerin renklerine
göre sıklığını göstermektedir.

Buna göre verilen soruları cevaplayınız.
a) Selçuk’un attığı paranın üst yüzüne tura gelme olayının deneysel olasılığı kaçtır?
Cevap:
- Beyaz Bisiklet Sayısı: 5
- Toplam Bisiklet Sayısı: 8 (Gri) + 7 (Kırmızı) + 5 (Beyaz) = 20
- Deneysel Olasılık: 5 / 20
- En Sade Hali:

Sonuç: 1 / 4
b) Bu mağazada satılan bir bisikletin deneysel olasılığı hangi renk için en fazladır?
Cevap:
Satış sayısı en yüksek olan renk gri (8 adet) olduğu için olasılığı en yüksek olan da odur.
Sonuç: Gri
5. Selçuk ve Fatih, ayrı ayrı iki madenî parayı 10 defa havaya atarak üst yüze gelen sonuçları
aşağıdaki tabloya kaydetmişlerdir.

Buna göre verilen soruları cevaplayınız
a) Selçuk’un attığı paranın üst yüzüne tura gelme olayının deneysel olasılığı kaçtır?
Cevap:
- Selçuk’un tura sayısı = 6 / 10
- Yüzde Olarak:

Sonuç: 6 / 10 veya %60
b) Fatih’in attığı paranın üst yüzüne yazı gelme olayının deneysel olasılığı kaçtır?
Cevap:
Fatih’in yazı sayısı = 7 / 10
Yüzde Olarak:

Sonuç: 7 / 10 veya %70
















