6. Sınıf Matematik Ders Kitabı Sayfa 215-216-217. Cevapları
6. Sınıf Matematik Ders Kitabı Sayfa 215-216-217. Cevapları 1. Kitap bölümünde, ders kitabı sayfa 215-216-217 konularına ait cevapları bulabilirsiniz. “4. Ölçme ve Değerlendirme Soruları Etkinlik Cevapları” Öğrenmenizi pekiştirmek ve anlamanızı kolaylaştırmak için 6. Sınıf Matematik Ders Kitabı Sayfa 215-216-217. Cevapları 1. Kitap soruları dikkatlice inceleyin. Başarınızı artırın.
4. Tema Veriden Olasılığa Ölçme ve Değerlendirme Soruları Cevapları
4. Tema Veriden Olasılığa: Deneysel olasılık, bir olayın gözlemlenen sıklığının toplam deneme sayısına bölünmesiyle hesaplanır. Bu oran, olayın gerçekleşme ihtimalini kesir, ondalık veya yüzde olarak ifade etmemizi sağlar.
İçindekiler
6. Sınıf Matematik Ders Kitabı Sayfa 215. Cevapları Birinci Kitap
1. Aşağıdaki değerlerden hangisi bir olayın deneysel olasılığını temsil edemez?
Cevap: Deneysel olasılık 0 ile 1 arasında (0 ≤ P ≤ 1) olmalıdır. 1,1 bu aralıkta değildir.
A) %25
B) 3/17
C) 1,1
D) 5/21
2. Bir basketbolcunun yaptığı 15 serbest atışın 13 tanesi isabetli olmuştur.
Buna göre bu basketbolcunun yapacağı atışın isabetli olma olayının deneysel olasılığını bulunuz.
Cevap:
Toplam atış = 15
İsabetli atış = 13

3. Oltayla balık tutan bir balıkçının tuttuğu 40 balıktan 18’i palamut, 13’ü sarıkanat ve 9’u çinekop’tur.
Buna göre balıkçının tuttuğu balığın palamut olma olayının deneysel olasılığı yüzde kaçtır?
Cevap: 18/40 kesrini yüzdeye çevirmek için paydayı 100 yapmalıyız.
Önce 2 ile sadeleştirelim:

Sonra 5 ile genişletelim:

Sonuç: %45
İhtiyacınız olan içeriğe aşağıdaki ana kaynaklardan ulaşabilirsiniz:
6. Sınıf Matematik Ders Kitabı Sayfa 216. Cevapları Birinci Kitap
4. Aşağıdaki tablo, bir sayı küpünün atılma deneyinde üst yüze gelen sayıların sıklığını göstermektedir.
Tablo: Bir Sayı Küpünün Atılma Deneyinde Üst Yüze Gelen Sayıların Sıklığı

Buna göre verilen tablolardan hangisi bu sayı küpünün üst yüzüne gelen her bir sayının deneysel olasılığını doğru göstermektedir?
Cevap:
Toplam deney sayısı:
28 + 40 + 32 + 30 + 45 + 25 = 200
Deneysel olasılıklar:
- 1 → 28/200 = 0,14
- 2 → 40/200 = 1/5 = 0,20
- 3 → 32/200 = 0,16 = %16
- 4 → 30/200 = 3/20 = 6/40
- 5 → 45/200 = 9/40
- 6 → 25/200 = 1/8
C seçeneği, bu değerlerin tamamını birebir (ondalık–kesir–yüzde biçimleriyle) doğru vermektedir.

6. Sınıf Matematik Ders Kitabı Sayfa 217. Cevapları Birinci Kitap
5. Bir ortaokula kaydedilen 20 öğrencinin bazı bilgileri aşağıdaki tabloda verilmiştir.
Tablo: Bir Ortaokula Kaydedilen Öğrencilerin Bilgileri

Buna göre verilen soruları cevaplayınız.
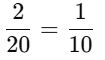
a) Bu ortaokula kaydedilen bir öğrencinin kasım ayında doğmuş olma olayının deneysel olasılığı kaçtır?
Cevap: Kasım ayında doğan öğrenciler:
- Zeynep (21 Kasım)
- Esra (26 Kasım)
Hesaplama: Toplam 2 kişi.

Sonuç: 1/10
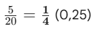
b) Bu ortaokula kaydedilen bir öğrencinin ayın ilk 15 günü içinde doğma olayının deneysel olasılığı kaçtır?
Cevap:
Ayın ilk 15 günü (1–15 dahil) doğanlar:
- Ayşe (05)
- Mehmet (12)
- Ali (02)
- Elif (10)
- Mustafa (15)
- Aylin (08)
- Deniz (13)
- Kemal (07)
- Serkan (04)
- Tarık (11)
Toplam: 10 öğrenci

c) Bu ortaokula kaydedilen bir öğrencinin göz renginin ela olma olayının deneysel olasılığı kaçtır?
Cevap:
Göz rengi ela olanlar:
- Ali
- Mustafa
- Kemal
- Serkan
- Emre
Toplam 5 kişi

ç) Bu ortaokula kaydedilen bir öğrencinin saç renginin siyah olma olayının deneysel olasılığı kaçtır?
Cevap:
Siyah saçlılar:
- Mehmet
- Ali
- Kemal
- Serkan
- Esra
- Özge
Toplam 6 kişi















